Sitio Web de Héctor E. Medellín Anaya

Cinemática

Movimiento con aceleración constante

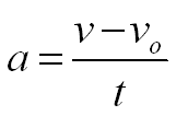
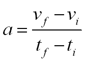
Si la aceleración es constante se pueden hacer las siguientes simplificaciones:

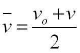
Si en  ti = 0, vo = vi, v = vf, entonces

 

 

Además, se cumple que

    

 

El siguiente applet está basado en las ecuaciones anteriores. El usuario puede editar el gráfico de velocidad en 10 intervalos y definir de esta manera la aceleración y el desplazamiento del vehículo.

En este simulador pueden editarse los valores de la velocidad instantánea moviento los puntos azules en la gráfica de velocidad.