Sitio Web de Héctor E. Medellín Anaya

Campo Eléctrico

El concepto de campo eléctrico es fundamental para entender las leyes del electromagnetismo. Una forma de visualizarlo es mediante el trazo de líneas del campo. Las líneas de campo eléctrico tienen la propiedad de que el campo eléctrico es tangente a estas líneas en todos los puntos. Las líneas parten de las cargas positivas y llegan a las cargas negativas o se pierden en el infinito. La cantidad de líneas en una región del espacio es proporcional a la magnitud del campo en esa región. Para calcular las líneas de campo hacemos uso de la definición de campo eléctrico dada por la ley de Coulomb.

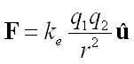
Donde q1 y q2 son los valores de las cargas eléctricas, r es la distancia de separación, ke es una constante llamada constante de Coulomb y u es un vector unitario en la dirección definida por la posición de las cargas q1 y q2.

Las líneas de potencial son curvas cerradas que son perpendiculares a las líneas de campo en todo punto. Estas líneas tienen el mismo valor para el potencial eléctrico a lo largo de toda su trayectoria.

El siguiente applet permite manipular 10 cargas puntuales y dibuja las líneas de campo y las equipotenciales. Seleccione la carga con el mouse y arrastre a una nueva posición. Al poner el mouse sobre una carga, se muestra la magnitud de la fuerza resultante sobre ella. El valor de la carga se puede variar haciendo clic sobre ella con el botón derecho para incrementar y botón derecho+shift para decrementar, los valores están dados en mC. Las casillas de verificación permiten mostrar u ocultar las líneas de campo, las de potencial y el vector fuerza sobre las cargas. Las cargas positivas se dibujan en rojo, las negativas en azul y las que son iguales a cero en negro. El valor del campo y del potencial se muestra al mover el mouse sobre la gráfica. La gráfica se traslada arrastrando con el botón izquierdo y se cambia la escala arrastrando con botón derecho.