Sitio Web de Héctor E. Medellín Anaya

Interpolación polinomial

La interpolación polinomial consiste en encontrar uno o varios polinomios que se ajusten a una serie de puntos. Una vez encontrados los polinomios se pueden calcular valores de nuevos puntos.

Interpolación de Lagrange

Se trata de encontrar un polinomio de grado n que pase por los puntos (x0, f(x0)), (x1, f(x1)), ... (xn, f(xn)), se construye un cociente Ln,k(xk) con la propiedad de que 

Ln,k(xi) = 0 cuando i <> k y Ln,k(xk) = 1

Se requiere entonces que el numerador contenga

(x – x0) (x – x1)... (x – xk–1)(x – xk+1)... (x – xn)

El denominador debe coincidir con el numerador cuando x = xk.

Trazadores lineales

El problema de los polinomios de Lagrange es que si el grado del polinomio es grande, tienden a producirse oscilaciones. Una alternativa es interpolar entre cada par de puntos con un polinomio de grado 1, 2 o 3, dependiendo de que ajuste se quiera obtener entre cada tramo. El caso más sencillo es utilizar líneas rectas, se obtendría solo continuidad en la función pero no en la derivada. Si se utilizan polinomios de grado 2, se puede obtener continuidad en la derivada y si se usan polinomios de grado 3, se obtiene continuidad en la segunda derivada (o sea en la curvatura de la función interpolante).

Los trazadores lineales (splines) se obtiene calculando lo siguiente:

f (x) = f (x0) + m0(x x0) x0 <= x <= x1
f (x) = f (x1) + m1(x x1) x1 <= x <= x2

f (x) = f (xn-1) + mn–1 (x xn-1) xn–1 <= x <= xn

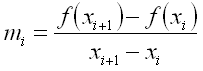
Los valores de mi se calculan con:

Trazadores cuadráticos

El polinomio en cada intervalo es de la forma:

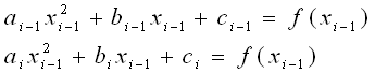
fi(x) = ai x2 + bi x + ci

Para encontrar los ai, bi, ci se deben cumplir las siguientes condiciones:

1. Los valores de la función deben ser iguales en los nodos interiores, 2n – 2 ecuaciones.

2. La primera y última función debe pasar por los extremos, 2 ecuaciones.

3. Las primeras derivadas en los nodos interiores deben ser iguales, n – 1 ecuaciones. O sea:

 2ai –1 xi–1 + bi –1 = 2ai xi–1 + bi 

4. Suponer derivada 0 en el primer punto. a1 = 0

Se plantea el sistema de ecuaciones y se resuelven dando como resultado los coeficientes de cada cuadrática.

Trazadores cúbicos

Para poder exigir continuidad en la curvatura se utilizan polinomios de grado 3. El siguiente método resulta en un sistema de n ecuaciones cuya matriz tiene una forma tridiagonal.

Aplicando las condiciones de continuidad del spline S y de las derivadas primera S' y segunda S'', es posible encontrar la expresión analítica del spline.

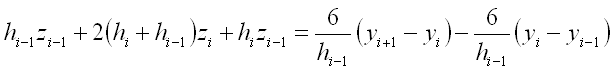
Aplicando las condiciones de continuidad se llega a 

La ecuación anterior, genera un sistema de n–1 ecuaciones lineales con n+1 incógnitas.

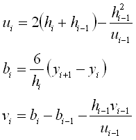
donde

Applet

El siguiente applet muestra una serie de puntos. Los puntos se pueden interpolar con polinomios de Lagrange, splines lineales, cuadráticos y cúbicos. Puede arrastrar los puntos con el mouse. Se pueden agregar puntos haciendo clic y presionando ctrl al mismo tiempo. Para eliminar haga clic sobre el punto presionando shift. Haga zoom arrastrando con el botón derecho y mueva el origen de coordenadas arrastrando con botón izquierdo. Los valores de las coordenadas de x y y se muestran en las barras de texto. Haga clic sobre el botón "cargar" para introducir coordenadas desde el teclado desde las barras de texto.