Sitio Web de Héctor E. Medellín Anaya

CANTIDAD DE MOVIMIENTO

La cantidad de movimiento de una partícula se define como:

p = mv

La segunda ley de Newton establece que la fuerza sobre un objeto es igual a la rapidez de cambio de la cantidad de movimiento del objeto.En términos de la cantidad de movimiento, la segunda ley de Newton se escribe como

F = dp/dt

La energía cinética de un cuerpo de masa m se puede expresar como:

K = 1/2 mv2 = p2/2m

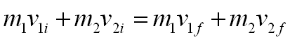
Llamamos colisión a la interacción de dos (o más) cuerpos mediante una fuerza impulsiva. Si m1 y m2 son las masas de los cuerpos, entonces la conservación de la cantidad de movimiento establece que:

m1v1i + m2v2i = m1v1f + m2v2f

 

Donde v1i, v2i, v1f , v2f  son las velocidades iniciales y finales de las masas m1 y m2.

 

CLASIFICACIÓN DE LAS COLISIONES

 

Las colisiones se clasifican en:

Elásticas: cuando se conserva la energía cinética total.

Inelásticas: cuando parte de la energía cinética total se transforma en energía no recuperable (calor, deformación, sonido, etc.).

Perfectamente inelásticas: cuando los objetos permanecen juntos después de la colisión.

v1f = v2f

COLISIONES PERFECTAMENTE INELÁSTICAS

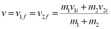
Para colisiones perfectamente inelásticas se cumple lo siguiente:

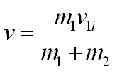
Si m2 está inicialmente en reposo, entonces:

Si m1» m2, entonces v = v1i.

Si m1« m2, entonces v = 0.

Si v2i = -v1i , entonces:

Si en este caso m1= m2, entonces: v = 0

COLISIONES ELÁSTICAS

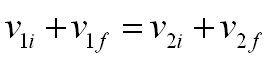
En colisiones elásticas se conserva el momento y la energía total. Entonces se tiene que:

y

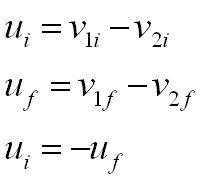
Es fácil mostrar, a partir de lo anterior, que:

Si denotamos por u la velocidad relativa de los objetos, entonces:

En una colisión elástica la velocidad relativa de los cuerpos en colisión cambia de signo, pero su magnitud permanece inalterada.

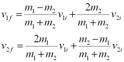
Es fácil mostrar que las velocidades finales de los dos objetos son:

Si v2i = 0, entonces:

Si m1= m2, entonces v1f = 0 y v2f = v1f

Si m1 » m2, entonces v1f = v1i y v2f = v2i

Si m1« m2, entonces v1f = - v1i y v2f = (2m1/ m2) v2i

COLISIONES INELÁSTICAS

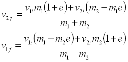
Las colisiones inelásticas se caracterizan por una perdida en la energía cinética, podemos representar por e, la fracción de la velocidad relativa final entre la inicial, o sea:

Donde e se conoce como el coeficiente de restitución. Para este caso las velocidades finales serán:

Si e = 0, se tiene el caso de colisiones perfectamente inelásticas, y si e = 1, entonces se tiene el caso de colisiones elásticas. Cualquier valor intermedio supone una pérdida de energía entre estos dos valores.

RIEL DE AIRE

El Riel de Aire es un aparato de laboratorio utilizado para estudiar las coliciones en una dimensión. El riel consta de un tubo de sección transversal cuadrada con una serie de perforacoines por las que sale aire a presión. Sobre el riel se colocan carros que se deslizan sobre un colchon de aire que se forma entre el riel y el carro. Los carros se mueven en escencia sin fricción. Sobre los carros se colocan pesos para experimentar el choque de objetos de diferente masa.

El simulador de riel de aire permite modificar los parámetros más imoortantes: masas, velocidades iniciales y coeficiente de restitución, pudiendose llevar a cabo una gran variedad de experimentos con choque elásticos, no elásticos y perfectamente inelásticos.